Bihar STET Result 2025 : नमस्कार दोस्तों बिहार स्कूल एग्जामिनेशन बोर्ड पटना के Bihar STET Result 2025 को दिनांक 5 जनवरी 2026 को आधिकारिक पोर्टल के माध्यम से जारी कर दिया जाएगा ऐसी जानकारी बिहार बोर्ड के अध्यक्ष श्री आनंद किशोर जी के द्वारा दिया गया है यह बिल्कुल सही जानकारी आप लोगों तक पहुंच पा रहा है तो अगर आप लोग भी इसके परिणाम का प्रतीक्षा कर रहे हैं तो यह धमाकेदार खुशखबरी आप सभी के लिए है।
आप सभी लोगों को बताना चाहते हैं कि यह परिणाम जारी होने के बाद आप बिना कोई कठिनाई का सामना किए हुए आसानी से डाउनलोड कर सके इसके लिए हम सभी अभ्यर्थी को इस आर्टिकल के द्वारा Bihar STET Result 2025 Download करने की डायरेक्ट लिंक भी देंगे जिस पर क्लिक करके इस परिणाम को डाउनलोड करने के पश्चात आसानी से देखा भी जा सकता है।
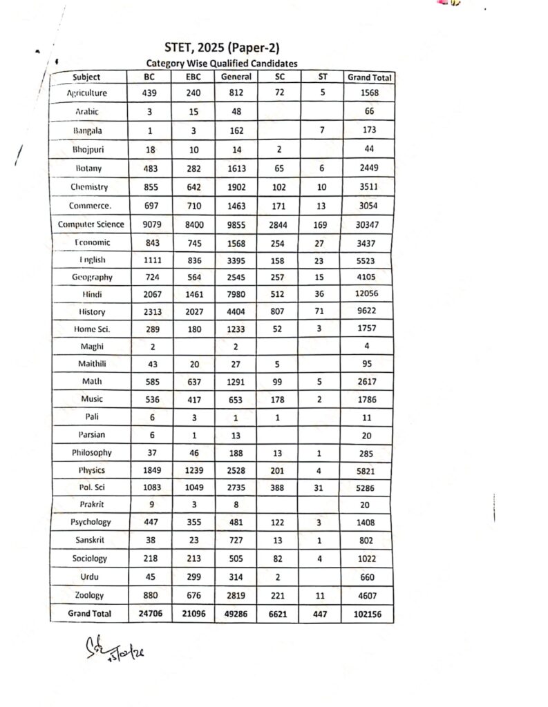
Bihar STET Result 2025 : Overview
| Conducting Body Name | Bihar School Examination Board (BSEB), Patna |
| Article Name | Bihar STET Result 2025 |
| Article Type | Result Update |
| Examination ( Date ) | 14 October 2025 To 16 October 2025 |
| Bihar STET Result 2025 Status | Release Soon |
| Result ( Out Date ) | 05 January 2025 ( Fully Expected ) |
| Download Mode | Online |



Bihar STET Result 2025 : बिहार STET रिजल्ट 2025 5 जनवरी को जारी
सबसे पहले तो आज के इस आर्टिकल के द्वारा Bihar STET Result 2025 का इंतजार करने वाले प्रत्येक उम्मीदवार का बहुत-बहुत स्वागत करना चाहूंगा, यदि आप लोग इस परिणाम का इंतजार में लगे हैं तो धमाकेदार खुशखबरी आ चुका है कि 5 जनवरी 2026 को आनंद किशोर जी के द्वारा यह रिजल्ट आधिकारिक पोर्टल के माध्यम से प्रकाशित कर दिया जाएगा इसके बाद आप लोग आसानी से डाउनलोड कर पाएंगे।
आप सभी लोगों को हम इस आर्टिकल के द्वारा पूरी-पूरी जानकारी How To Download Bihar STET Result 2025 के बारे में भी बताएंगे और इसके साथ ही साथ यह डाउनलोड करने के लिए सभी महत्वपूर्ण लिंक भी देंगे तो इसके लिए अंत तक आपको अध्ययन करना जरूरी है ताकि रिजल्ट से जुड़ी सभी महत्वपूर्ण लिंक आप सभी लोगों को प्राप्त हो सके।
Bihar STET Result 2025 में दर्ज जानकारी
- सभी छात्र एवं छात्राओं का पूरा नाम उनके माता का पूरा नाम के साथ है इनके पिता का पूरा नाम रोल नंबर रोल कोड परीक्षा केंद्र का नाम परीक्षा की तिथि परीक्षा केंद्र का स्थान विषय की जानकारी विषय के हिसाब से परीक्षा में प्राप्त किया गया अंक और परीक्षा में प्राप्त किया गया कुल अंक पास होने की स्थिति इत्यादि विवरण
उपर्युक्त सभी विवरण रिजल्ट में मेंशन रहेगा जिसका आप लोगों को अच्छी तरह से मिलान करना अति आवश्यक है।
Bihar STET Result 2025 Check Procces
- रिजल्ट की प्रतीक्षा कर रहे हैं सभी उम्मीदवार को रिजल्ट देखने के लिए सर्वप्रथम तो इसके आधिकारिक पोर्टल bsebstet.com पर सफलतापूर्वक जाकर विजिट कर जाना होगा।
- जिसके बाद आप लोगों को होम पेज पर आना होगा।
- तथा Bihar STET Result 2025 का लिंक ढूंढना होगा।
- और यहां पर क्लिक कर देना होगा।
- लिंक पर क्लिक आप लोग कर देते हैं तो इसके बाद एक नया पेज आप लोगों के ब्राउज़र में खुल जाएगा।
- जहां पर सही-सही रजिस्ट्रेशन नंबर के साथ ही साथ अपना जन्म तिथि को भर देना होगा।
- और अब रिजल्ट को देखने के लिए सफलतापूर्वक पोर्टल पर लॉगिन करके नए पेज पर आना होगा।
- और आप सभी उम्मीदवार को यह रिजल्ट आसानी से देख लेना होगा।
Important Links
| Download Result | Fast Click Here |
| Download Result Notice | Fast Click Here |
| Visit Official Portal | Fast Click Here |



